• Apuntes
  • Vídeos
  • Ejercicios
    • Resueltos
    • Por Curso
      • 1º ESO
      • 2º ESO
      • 3º ESO
      • 4º ESO
      • 1º BACH. CIENCIAS
      • 1º BACH. SOCIALES
      • 2º BACH. CIENCIAS
      • 2º BACH. SOCIALES
  • Más recursos
    • Actividades Interactivas
    • Selectividad (PAU)
    • Acceso Mayores 25
    • LaTeX
Inicio ›EJERCICIOS de Matemáticas ›1º BACH. CIENCIAS ›Ecuaciones ›Ecuaciones racionales 3190

Ecuaciones racionales 3190

ecuacionesecuaciones_racionalesEjercicios_Resueltos

Resuelve la ecuación \frac{2x+1}{x+3} + \frac{x-3}{x} = \frac{1}{2}

SOLUCIÓN

\frac{2x+1}{x+3} + \frac{x-3}{x} = \frac{1}{2}


m.c.m.(x+3, x, 2) = (x+3) \cdot x \cdot 2 = 2x(x+3)


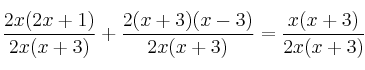
\frac{2x(2x+1)}{2x(x+3)} + \frac{2(x+3)(x-3)}{2x(x+3)} = \frac{x(x+3)}{2x(x+3)}


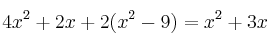
2x(2x+1) + 2(x+3)(x-3) = x(x+3)


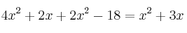
4x^2+2x + 2(x^2-9)=x^2+3x


4x^2+2x + 2x^2-18=x^2+3x


4x^2+2x + 2x^2-18-x^2-3x=0


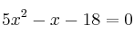
5x^2-x-18=0


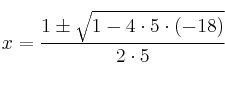
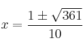
x = \frac{1 \pm \sqrt{1 -4 \cdot 5 \cdot (-18)}}{2 \cdot 5}


x = \frac{1 \pm \sqrt{361}}{10}


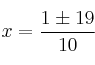
x = \frac{1 \pm 19}{10}

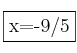
Soluciones\fbox{x=2} y \fbox{x=-9/5}

Comentar el ejercicio

  • 1º BACH. CIENCIAS
    • Derivadas
    • Números Reales
    • Sucesiones
    • Logaritmos
    • Polinomios y Fracciones Algebraicas
    • Exámenes
    • Ecuaciones
    • Números Complejos
    • Sistemas de Ecuaciones
    • Trigonometría
    • Inecuaciones
    • Ecuaciones Exponenciales y Logarítmicas
    • Funciones (I)
    • Geometría en el Plano
    • Cónicas
    • Funciones II
    • Integrales
    • Probabilidad
  • Mapa del sitio
  • Conectarse
  • 2001-2026 — Matemáticas IES — Contactar con Dani