• Apuntes
  • Vídeos
  • Ejercicios
    • Resueltos
    • Por Curso
      • 1º ESO
      • 2º ESO
      • 3º ESO
      • 4º ESO
      • 1º BACH. CIENCIAS
      • 1º BACH. SOCIALES
      • 2º BACH. CIENCIAS
      • 2º BACH. SOCIALES
  • Más recursos
    • Actividades Interactivas
    • Selectividad (PAU)
    • Acceso Mayores 25
    • LaTeX
Inicio ›EJERCICIOS de Matemáticas ›1º BACH. CIENCIAS ›Ecuaciones ›Ecuaciones racionales 3184

Ecuaciones racionales 3184

ecuacionesecuaciones_racionalesEjercicios_Resueltos

Resuelve la ecuación \frac{x+1}{x-1} - 1 = \frac{1}{x}

SOLUCIÓN

\frac{x+1}{x-1} - 1 = \frac{1}{x}


Ponemos denominador 1 a los que no tienen
Se trata de una ecuación racional

\frac{x+1}{x-1} - \frac{1}{1} = \frac{1}{x}


Hacemos m.c.m. de los denominadores
m.c.m. \left( (x-1), x \right) = (x-1) \cdot x

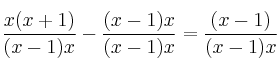
\frac{x(x+1)}{(x-1)x} - \frac{(x-1)x}{(x-1)x} = \frac{(x-1)}{(x-1)x}


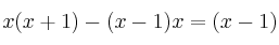
Ahora ya podemos quitar denominadores

x(x+1) - (x-1)x = (x-1)


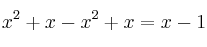
x^2+x -x^2 +x  = x-1


2x  = x-1


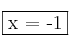
\fbox{x = -1}

Comentar el ejercicio

  • 1º BACH. CIENCIAS
    • Derivadas
    • Números Reales
    • Sucesiones
    • Logaritmos
    • Polinomios y Fracciones Algebraicas
    • Exámenes
    • Ecuaciones
    • Números Complejos
    • Sistemas de Ecuaciones
    • Trigonometría
    • Inecuaciones
    • Ecuaciones Exponenciales y Logarítmicas
    • Funciones (I)
    • Geometría en el Plano
    • Cónicas
    • Funciones II
    • Integrales
    • Probabilidad
  • Mapa del sitio
  • Conectarse
  • 2001-2026 — Matemáticas IES — Contactar con Dani