Ecuaciones Segundo Grado. Coeficientes con letras
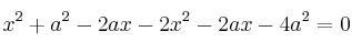
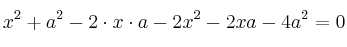
Resuelve la ecuación:
![]()
SOLUCIÓN
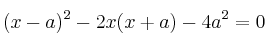
![]()
Quitamos paréntesis, operamos y ordenamos la ecuación
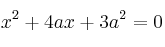
![]()
![]()
![]()
Podemos multiplicar todo por (-1) y queda:
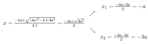
![]()
Aplicamos la fórmula de la ecuación de 2º grado

Resuelve la ecuación:
![]()
![]()
![]()
![]()
![]()
![]()
