Ecuaciones Logarítmicas
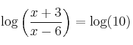
Resuelve la ecuación
![]()
SOLUCIÓN
En primer lugar debemos repasar los pasos a seguir para resolver ecuaciones logarítmicas
![]()
![]()



![]()
![]()
![]()
![]()

Verificamos que la solución no produce ningún logaritmo negativo (ni cero)
![]()
Por tanto la solución es correcta: 