• Apuntes
  • Vídeos
  • Ejercicios
    • Resueltos
    • Por Curso
      • 1º ESO
      • 2º ESO
      • 3º ESO
      • 4º ESO
      • 1º BACH. CIENCIAS
      • 1º BACH. SOCIALES
      • 2º BACH. CIENCIAS
      • 2º BACH. SOCIALES
  • Más recursos
    • Actividades Interactivas
    • Selectividad (PAU)
    • Acceso Mayores 25
    • LaTeX
Inicio ›EJERCICIOS de Matemáticas ›1º BACH. CIENCIAS ›Ecuaciones Exponenciales y Logarítmicas ›Ecuaciones Exponenciales

Ecuaciones Exponenciales

ecuacionesecuaciones_exponencialesEjercicios_Resueltos

Resuelve la ecuación
\frac{3^{3x-2}}{3^{x+3}} = 81

SOLUCIÓN

\frac{3^{3x-2}}{3^{x+3}} = 81


Se trata de una ecuación exponencial, entonces debemos conseguir potencias de la misma base:

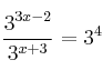
\frac{3^{3x-2}}{3^{x+3}} = 3^4


3^{3x-2-(x+3)} = 3^4


3^{2x-5} = 3^4


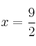
2x-5 = 4


2x = 9


x = \frac{9}{2}

Comentar el ejercicio

  • 1º BACH. CIENCIAS
    • Derivadas
    • Números Reales
    • Sucesiones
    • Logaritmos
    • Polinomios y Fracciones Algebraicas
    • Exámenes
    • Ecuaciones
    • Números Complejos
    • Sistemas de Ecuaciones
    • Trigonometría
    • Inecuaciones
    • Ecuaciones Exponenciales y Logarítmicas
    • Funciones (I)
    • Geometría en el Plano
    • Cónicas
    • Funciones II
    • Integrales
    • Probabilidad
  • Mapa del sitio
  • Conectarse
  • 2001-2026 — Matemáticas IES — Contactar con Dani