Ecuación Partamétrica de la recta
Dadas las ecuaciones para métricas de una recta:
Se pide:
– dos puntos
– dos vectores directores
– representación gráfica
SOLUCIÓN

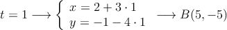
Obtengamos dos puntos A y B
![]()
![]()
Mediante los dos puntos se puede obtener un vector, o bien directamente de las ecuaciones paramétricas: ![]()
Cualquier vector proporcional al anterior nos valdría también como vector director de la recta, por ejemplo ![]()
Para dibujar la recta, usamos los dos puntos A y B