Ecuación Exponencial
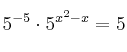
Resuelve la ecuación: ![]()
SOLUCIÓN
![]()
1) Expresamos todo en potencias de la misma base

2) Dejamos una sola potencia a cada lado del signo igual

3) Ya podemos quitar las bases
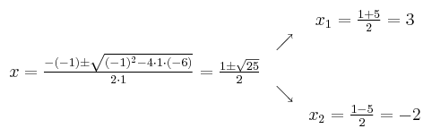
![]()
![]()
Obtenemos una ecuación de 2º grado
Resuelve la ecuación: ![]()
![]()


![]()
![]()