Ecuación Continua de la recta

💬 2

  ecuación_rectaEjercicios_Resueltosgeometría

Dada la ecuación continua de una recta:
\frac{x-2}{3} = \frac{y+1}{4} se pide:

 dos puntos de la recta
 dos vectores directores
 representación gráfica

SOLUCIÓN

La propia ecuación continua ya nos aporta el punto A(2,-1)
Para obtener más puntos de la recta, basta con darle valores a x e ir calculando y (o al revés).
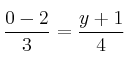
Para x=0 tenemos \frac{0-2}{3} = \frac{y+1}{4}
(-2) \cdot 4 = 3 (y+1)
-8 = 3y + 3
y = -11/3
Por tanto un segundo punto sería B(0,-11/3)

Un vector director de la recta sería el que nos aporta los denominadores de la propia ecuación continua \vec{v}=(3,4). Cualquier vector proporcional al anterior valdría como vector directo de la recta, por ejemplo \vec{u}=(6,8)

Para dibujar la recta, bastaría con dibujar los dos puntos que conocemos de la misma y a continuación trazar la recta.

Comentar el ejercicio

Mensajes