Ecuaciones Exponenciales y Logarítmicas
(40) ejercicios de Ecuaciones Exponenciales y Logarítmicas
-
Resuelve la ecuación

-
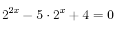
Resuelve la ecuación

-
Resuelve la ecuación

-
Resuelve la ecuación

-
Resuelve el sistema de ecuaciones:

