Dominio y Recorrido de hipérbola
Encontrar dominio y rango de la siguiente función y graficar
![]()
SOLUCIÓN
Dominio
Es una función racional, por tanto su dominio son todos los números reales excepto los que anulan el denominador (recordemos que no se puede dividir por cero)
Para obtener los valores que hacen el denominador cero, igualamos el denominador a cero y resolvemos la ecuación
![]()
El único valor que hace 0 el denominador es x=-2, por lo tanto, el dominio es todos los números reales excepto el -2. Se expresa de la siguiente forma:
![]()
Rango
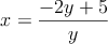
Para calcular el rango (también llamado imagen o recorrido) de forma analítica, calculamos el dominio de la inversa.
Despejamos X y calculamos el dominio de la función resultante
![]()
![]()
![]()
![]()
![]()
Calculamos el dominio igual que antes: todos los números excepto los que anulan el denominador.
El único valor que anula el denominador es y=0.
Por tanto el dominio es ![]()
Entonces, el rango que nos piden es:
![]()
Gráfica
La función
es una hipérbola, al igual que todas las funciones del tipo 
La hipérbola tiene dos asínitotas:
– Asíntota horizontal: ![]()
– Asíntota vertical: igualando denominador a 0 y despejando x
En nuestro caso las asíntotas son:
– A.H. ![]()
(la asíntota horizontal coincide con el eje OX)
– A. V. ![]()
Para dibujar la hipérbola, primero dibujamos las asíntotas, después los puntos de corte con los ejes y por último calculamos otros puntos que nos ayuden a dibujarla.
Corte con los ejes
![]()
Punto de corte: ![]()
![]()
No tiene solución. No hay más puntos de corte.
Otros puntos
Cuanto más puntos calculemos, más fácil será dibujar la gráfica.
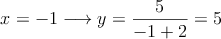
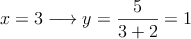
Vamos dando valores a X y calculando Y
A modo de ejemplo, calculo dos puntos
![]()
Punto a dibujar: ![]()
![]()
Punto a dibujar: ![]()
Por último, debemos tener en cuenta al dibujar que la función se acerca cada vez más a las asíntotas, pero sin llegar a tocarlas nunca.