Distancia de un Punto a una Recta
Halla la distancia del punto
a la recta que pasa por los puntos
y ![]()
SOLUCIÓN
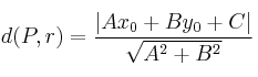
Usaremos la fórmula
donde
son las coordenadas del punto y
la ecuación general de la recta.
Tenemos las coordenadas del punto
, pero necesitamos la ecuación general de la recta que pasa por los puntos
y
.
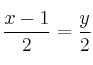
Generaremos la ecuación continua y después la pasamos a ecuación general.
Para la ecuación continua necesitamos un punto, por ejemplo el
y un vector director. Tomaremos el vector formado por ambos puntos ![]()
La ecuación continua es 
Multiplicando "en cruz" llegamos a la ecuación general
![]()
Ya tenemos todos los datos para aplicar la fórmula:
Simplificando se obtendría 