Derivadas Ejercicios
Halla la derivada de la función ![]()
SOLUCIÓN
![]()
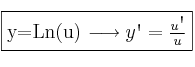
Si miramos las fórmulas de las derivadas vemos que la fórmula a usar es

En nuestro caso:

Entonces tendremos:

Si simplificamos obtenemos:

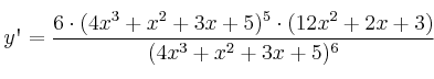
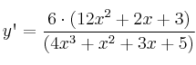
Halla la derivada de la función ![]()
![]()
Si miramos las fórmulas de las derivadas vemos que la fórmula a usar es



