• Apuntes
  • Vídeos
  • Ejercicios
    • Resueltos
    • Por Curso
      • 1º ESO
      • 2º ESO
      • 3º ESO
      • 4º ESO
      • 1º BACH. CIENCIAS
      • 1º BACH. SOCIALES
      • 2º BACH. CIENCIAS
      • 2º BACH. SOCIALES
  • Más recursos
    • Actividades Interactivas
    • Selectividad (PAU)
    • Acceso Mayores 25
    • LaTeX
Inicio ›EJERCICIOS de Matemáticas ›1º BACH. CIENCIAS ›Derivadas ›Derivadas Ejercicios

Derivadas Ejercicios

derivada de una funciónEjercicios_Resueltos

Calcula la derivada de las funciones:
– a) y = \sqrt{x} + \sqrt[3]{x}
– b) y = \sqrt{2x} + \sqrt[3]{5x}

SOLUCIÓN

a)= y = \sqrt{x} + \sqrt[3]{x} = x^{\frac{1}{2}}+x^{\frac{1}{3}}

y^{\prime} = \frac{1}{2} \cdot x^{\frac{1}{2}-1}+\frac{1}{3} \cdot x^{\frac{1}{3}-1}= \frac{1}{2} \cdot x^{\frac{-1}{2}}+\frac{1}{3} \cdot x^{\frac{-2}{3}}=
Podemos pasar los exponentes a positivos
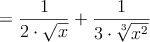
=\frac{1}{2 \cdot x^{1/2}} + \frac{1}{3 \cdot x^{2/3}}=
incluso podemos volverlo a poner en forma de radical
=\frac{1}{2 \cdot \sqrt{x}} + \frac{1}{3 \cdot \sqrt[3]{x^2}}

b) y = \sqrt{2x} + \sqrt[3]{5x} = (2x)^{1/2} + (5x)^{1/3}

y^{\prime}=\frac{1}{2} \cdot (2x)^{-1/2} \cdot 2 + \frac{1}{3} \cdot (5x)^{-2/3} \cdot 5=

=\frac{1}{(2x)^{1/2}} + \frac{5}{3 \cdot (5x)^{2/3}}=\frac{1}{\sqrt{2x}}+\frac{5}{3 \cdot \sqrt[3]{(5x)^2}}

Comentar el ejercicio

  • 1º BACH. CIENCIAS
    • Derivadas
    • Números Reales
    • Sucesiones
    • Logaritmos
    • Polinomios y Fracciones Algebraicas
    • Exámenes
    • Ecuaciones
    • Números Complejos
    • Sistemas de Ecuaciones
    • Trigonometría
    • Inecuaciones
    • Ecuaciones Exponenciales y Logarítmicas
    • Funciones (I)
    • Geometría en el Plano
    • Cónicas
    • Funciones II
    • Integrales
    • Probabilidad
  • Mapa del sitio
  • Conectarse
  • 2001-2026 — Matemáticas IES — Contactar con Dani