• Apuntes
  • Vídeos
  • Ejercicios
    • Resueltos
    • Por Curso
      • 1º ESO
      • 2º ESO
      • 3º ESO
      • 4º ESO
      • 1º BACH. CIENCIAS
      • 1º BACH. SOCIALES
      • 2º BACH. CIENCIAS
      • 2º BACH. SOCIALES
  • Más recursos
    • Actividades Interactivas
    • Selectividad (PAU)
    • Acceso Mayores 25
    • LaTeX
Inicio ›EJERCICIOS de Matemáticas ›1º BACH. CIENCIAS ›Derivadas ›Derivadas Ejercicios

Derivadas Ejercicios

derivada de una funciónEjercicios_Resueltos

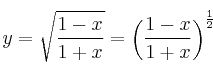
Calcula la derivada de la función y = \sqrt{\frac{1-x}{1+x}}

SOLUCIÓN

y = \sqrt{\frac{1-x}{1+x}} = \left( \frac{1-x}{1+x} \right)^\frac{1}{2}
y\textsc{\char13} =\frac{1}{2} \cdot \left( \frac{1-x}{1+x} \right)^\frac{-1}{2} \cdot \left( \frac{(-1)(1+x)-(1-x) \cdot 1}{(1+x)^2}\right)

Simplificando obtendríamos:

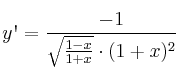
y\textsc{\char13}=\frac{-1}{\sqrt{\frac{1-x}{1+x}} \cdot (1+x)^2}


Comentar el ejercicio

  • 1º BACH. CIENCIAS
    • Derivadas
    • Números Reales
    • Sucesiones
    • Logaritmos
    • Polinomios y Fracciones Algebraicas
    • Exámenes
    • Ecuaciones
    • Números Complejos
    • Sistemas de Ecuaciones
    • Trigonometría
    • Inecuaciones
    • Ecuaciones Exponenciales y Logarítmicas
    • Funciones (I)
    • Geometría en el Plano
    • Cónicas
    • Funciones II
    • Integrales
    • Probabilidad
  • Mapa del sitio
  • Conectarse
  • 2001-2026 — Matemáticas IES — Contactar con Dani