Conjuntos numéricos 4207
Realiza las siguientes operaciones y clasifica los resultados en función del conjunto o conjuntos numéricos a los que pertenecen.
–
–
–
– ![]()
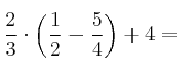
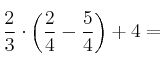
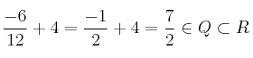
SOLUCIÓN
(números complejos)




(es un número racional y por tanto también real)
![]()
(es un número entero y por tanto está dentro de los racionales, que a su vez están dentro de los reales)
![]()
(es un número natural, y por tanto está dentro de los enteros, de los racionales y de los reales)