Complejos. Ecuación segundo grado
Usa los números complejos para resolver la ecuación ![]()
SOLUCIÓN
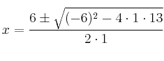
Aplicamos la fórmula de las ecuaciones de segundo grado
![]()

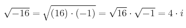
En el conjunto de los números reales no tendría solución, pero en los complejos si tiene solución:

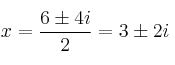
Por tanto, la solución quedaría:
