Calcular derivadas

💬 2

  derivada de una funciónEjercicios_Resueltosfunciones

Calcula la derivada de las siguientes funciones:

 a) f(x)=3x^4-\frac {1}{5}x^2+7x-2

 b) f(x)=\sqrt { 4{ x }^{ 2 }-1 }

 c) f(x)=3^{ x }\cdot { ln }^{ 2 }x

 d) f(x)=3cos({ x }^{ 2 }-1)

 e) f(x)=\frac { -{ x }^{ 2 }+1 }{ 5{ x }^{ 4 }-3{ x+2 } }

 f) f(x)={ (-2{ x }^{ 3 }+x) }^{ 5 }

SOLUCIÓN

 a) f(x)=3x^4-\frac {1}{5}x^2+7x-2

f^{\prime}(x)=12x^3-\frac {2}{5}x+7

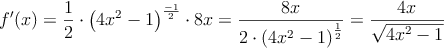
 b) f(x)=\sqrt { 4{ x }^{ 2 }-1 }=\left( 4x^2-1 \right)^{\frac{1}{2}}

f^{\prime}(x)=\frac{1}{2} \cdot \left( 4x^2-1 \right)^{\frac{-1}{2}} \cdot 8x = \frac{8x}{2 \cdot \left( 4x^2-1 \right)^{\frac{1}{2}} }=\frac{4x}{\sqrt { 4x^2-1}}

 c) f(x)=3^{ x }\cdot { ln }^{ 2 }x

f^{\prime}(x)=3^x \cdot ln(3) \cdot ln^2(x) + 3^x \cdot 2 \cdot ln(x) \cdot \frac{1}{x}

 d) f(x)=3cos({ x }^{ 2 }-1)

f^{\prime}(x)=-3 \cdot sen (x^2-1) \cdot 2x

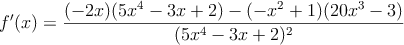
 e) f(x)=\frac { -{ x }^{ 2 }+1 }{ 5{ x }^{ 4 }-3{ x+2 } }

f^{\prime}(x)=\frac{(-2x)(5x^4-3x+2)-(-x^2+1)(20x^3-3)}{(5x^4-3x+2)^2}

 f) f(x)={ (-2{ x }^{ 3 }+x) }^{ 5 }

f^{\prime}(x)=5 \cdot (-2x^3+x)^4 \cdot (-6x^2+1)

Comentar el ejercicio

Mensajes