• Apuntes
  • Vídeos
  • Ejercicios
    • Resueltos
    • Por Curso
      • 1º ESO
      • 2º ESO
      • 3º ESO
      • 4º ESO
      • 1º BACH. CIENCIAS
      • 1º BACH. SOCIALES
      • 2º BACH. CIENCIAS
      • 2º BACH. SOCIALES
  • Más recursos
    • Actividades Interactivas
    • Selectividad (PAU)
    • Acceso Mayores 25
    • LaTeX
Inicio ›EJERCICIOS de Matemáticas ›1º BACH. CIENCIAS ›Derivadas ›Calcular Derivada

Calcular Derivada

💬 2

  derivada de una funciónEjercicios_Resueltos

Calcula la derivada de las funciones:

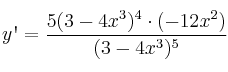
– y = Ln(3-4x^3)^5
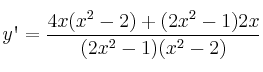
– y = Ln \left[ (2x^2-1) (x^2-2) \right]

SOLUCIÓN

– y\textsc{\char13}=\frac{5(3-4x^3)^4 \cdot (-12x^2)}{(3-4x^3)^5}
– y\textsc{\char13}= \frac{4x(x^2-2)+(2x^2-1)2x}{(2x^2-1)(x^2-2)}

Comentar el ejercicio

Mensajes

  • 21 de abril de 2021, 14:07, por Antonio Luis Díaz Díaz

    En el apartado a), ¿la desaparición del logaritmo neperiano se debe a algo o es un error?.

    • 3 de mayo de 2021, 07:25, por dani

      En la derivada desaparece el logaritmo.
      Puedes verlo en las fórmulas:
      Resumen de fórmulas (derivadas)

  • 1º BACH. CIENCIAS
    • Derivadas
    • Números Reales
    • Sucesiones
    • Logaritmos
    • Polinomios y Fracciones Algebraicas
    • Exámenes
    • Ecuaciones
    • Números Complejos
    • Sistemas de Ecuaciones
    • Trigonometría
    • Inecuaciones
    • Ecuaciones Exponenciales y Logarítmicas
    • Funciones (I)
    • Geometría en el Plano
    • Cónicas
    • Funciones II
    • Integrales
    • Probabilidad
  • Mapa del sitio
  • Conectarse
  • 2001-2026 — Matemáticas IES — Contactar con Dani