Área entre dos curvas
Halla el área entre las curvas:
–
– ![]()
SOLUCIÓN
Para calcular el área encerrada entre dos curvas seguimos los pasos del Ejemplo en vídeo
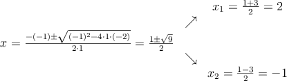
Puntos donde se cortan las funciones
![]()
. Tenemos dos opciones:
–
–

Las curvas se cortan en los puntos
,
y ![]()
Construimos la función resta: ![]()
Para calcular el área hacemos una suma de integrales
![]()
![A = \left| \left[ \frac{x^4}{4}-\frac{x^3}{3}-x^2 \right]_{-1}^0 \right| + \left| \left[ \frac{x^4}{4}-\frac{x^3}{3}-x^2 \right]_{0}^2 \right| = A = \left| \left[ \frac{x^4}{4}-\frac{x^3}{3}-x^2 \right]_{-1}^0 \right| + \left| \left[ \frac{x^4}{4}-\frac{x^3}{3}-x^2 \right]_{0}^2 \right| =](local/cache-TeX/aec1aca548c5dd8bdee92a179ac86d3b.png)
![]()
![]()