Altura de un edificio usando la doble tangente
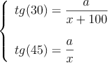
Observamos el punto más alto de un castillo bajo un ángulo de 30 grados sobre la horizontal. Nos acercamos 100 metros y ahora el ángulo es de 45 grados. Halla la altura del castillo.
SOLUCIÓN
Problema clásico que se resuelve formando un sistema de ecuaciones con las dos tangentes de los dos ángulos
Problema de la doble tangente
Calcular altura de edificio conociendo los ángulos de vista desde dos posiciones distintas, a una determinada distancia.
matematicasies.com

Dado que 30 y 45 son ángulos notables podemos expresar sus tangentes si recurrir a la calculadora:

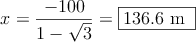
Tenemos "a" despejado en la 2ª ecuación. Sustituimos en la 1ª ecuación
![]()
![]()
![]()
![]()
La altura es de 136.6 metros (pues a=x)
Mensajes
14 de diciembre de 2025, 19:57, por alguien
me parece rara la resolución, es decir es confusa pq están usando la tg de 30 con 1/\(\sqrt3\). en vez de usar la raíz de 3 arriba y un 3 dividiendo abajo, es todo.
16 de diciembre de 2025, 22:37, por dani
es lo mismo 1 / Raíz(3) que Raíz(3) / 3