📝 Ejercicios de extremos
-
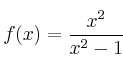
Calcule máximos y mínimos de la función

-
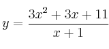
Halla los extremos relativos de la función

-
Dada la función
, determinar los valores de
,
y
si sabemos que
tiene un óptimo en
y la pendiente de la recta tangente a
en
es
. -
Sea la función

– a) Encuentre los puntos críticos de
por medio del criterio de la primera derivada
– b) Halle los intervalos donde la función es creciente y decreciente, así como los puntos máximos y mínimos
– c) Determine los puntos de inflexión
– d) Trace la gráfica de la función
-
Para la función
se pide:– a) Dominio
– b) Corte con los ejes
– c) Monotonía y Extremos
– d) Curvatura y Puntos de Inflexión
– e) Representación gráfica teniendo en cuenta los apartados anteriores -
Sea la función:

– a) Representación gráfica
– b) Indica Dominio, Corte con los ejes, Asíntotas, Monotonía y Extremos -
Sea la función:

– a) Representación gráfica
– b) Indica Dominio, Corte con los ejes, Asíntotas, Monotonía y Extremos -
Realiza un estudio global (dominio, simetrías, corte con los ejes, asíntotas, monotonía, extremos y representación gráfica) de la función:

-
En las siguientes gráficas (donde su dominio es R) determina los intervalos de crecimiento y decrecimiento e indica los mínimos o máximos relativos (si los tiene).
-
Indica en la siguiente gráfica:
– Dominio e Imagen
– Simetrías
– Intervalos de crecimiento y decrecimiento
– Continuidad
– Máximos y mínimos
-
Indica en la siguiente gráfica:
– Dominio e Imagen
– Simetrías
– Intervalos de crecimiento y decrecimiento
– Continuidad
– Máximos y mínimos
-
Indica en la siguiente gráfica:
– Dominio e Imagen
– Simetrías
– Intervalos de crecimiento y decrecimiento
– Continuidad
– Máximos y mínimos
-
Indica en la siguiente gráfica:
– Dominio e Imagen
– Simetrías
– Intervalos de crecimiento y decrecimiento
– Continuidad
– Máximos y mínimos
-
Observando la siguiente gráfica (que representa una única función) Indica:
– a) las imágenes de los puntos 5 y -5
– b) intervalos donde la función es continua
– c) intervalos de crecimiento y decrecimiento
– d) un máximo (relativo), un mínimo (relativo) y el mínimo absoluto
-
En las siguientes gráficas indica monotonía, extremos y puntos de corte con los ejes de coordenadas
-
Halla los intervalos de monotonía y los extremos relativos de la función

-
Determina la monotonía y los extremos relativos de la función

-
Halla los extremos relativos de la función:

-
Halla los extremos relativos de la función:

-
Halla los extremos relativos de la función
