Estudio de una función a trozos 4084
Sea la función:

– a) Representación gráfica
– b) Indica Dominio, Corte con los ejes, Asíntotas, Monotonía y Extremos
SOLUCIÓN
– a) Representación gráfica
– b) ![]()
Corte con los ejes:
Corte del trozo
Si
. Corte: (0,1)
Con el otro eje no hay corte
Corte del trozo
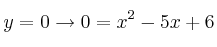
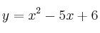
Si
. El punto (0,6) no entra porque esta fuera del dominio de este trozo: intervalo (2,5)
Si
. Si resolvemos la ecuación de 2º grado obtenemos como soluciones 2 y 3. Los puntos sería el (2,0) y (3,0). Sin embargo, el punto (2,0) no entra al estar fuera del dominio de este trozo.
Los puntos de corte del tercer trozo también están fuera de su dominio, por ello tampoco cuentan.
En definitiva, los puntos de corte son
y ![]()
Asíntotas: La única asintota que afecta a gráfica de la función a trozos sería ![]()
Monotonía:
Decreciente
Decreciente
Creciente
Decreciente
Extremos:
Mínimo en el vértice de la parábola ![]()