📝 Ejercicios de funciones a trozos
-
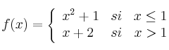
Estudia la derivabilidad de la siguiente función:

-
Halla el dominio de la función:

-
Halla el dominio de la función:

-
Halla el dominio de la función:

-
Calcula el dominio de la función

-
Hallar el dominio y rango de la siguiente función

-
Sea la función:

– a) Representación gráfica
– b) Indica Dominio, Corte con los ejes, Asíntotas, Monotonía y Extremos -
Sea la función:

– a) Representación gráfica
– b) Indica Dominio, Corte con los ejes, Asíntotas, Monotonía y Extremos -
A continuación puedes ver la gráfica de una función definida a trozos. Obtén la expresión analítica, utilizando las expresiones adecuadas.
-
Representa gráficamente la siguiente función:

-
El beneficio esperado de una empresa, en millones de euros, viene dado por la función

donde x representa el tiempo transcurrido en años.
– a) Representa gráficamente la función
– b) Explica cómo es la evolución del beneficio esperado durante esos 8 años y calcula cuándo el beneficio esperado es de 11,25 millones de euros. -
Represente gráficamente la siguiente función:

-
El beneficio esperado por una empresa, en los próximos 8 años, viene indicado por la función:

El tiempo (x) está expresado en años y el Beneficio f(x) viene expresado en millones de euros.
– a) Representa gráficamente la función
– b) Explica la evolución del beneficio en esos 8 años
– c) ¿Cuándo se espera un beneficio de 11,25 millones de euros? -
Representa gráficamente la función:

-
Representa gráficamente la función:

-
Representa gráficamente la función:

-
Representa gráficamente la función:

-
Sea la función:

– a) Representación gráfica
– b) Indica Dominio, Corte con los ejes, Asíntotas, Monotonía y Extremos -
Representa gráficamente la función:

-
Representa gráficamente la función

- 1
- 2