Funciones - Gráfica
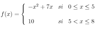
El beneficio esperado de una empresa, en millones de euros, viene dado por la función

donde x representa el tiempo transcurrido en años.
– a) Representa gráficamente la función
– b) Explica cómo es la evolución del beneficio esperado durante esos 8 años y calcula cuándo el beneficio esperado es de 11,25 millones de euros.
SOLUCIÓN
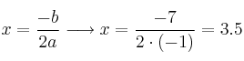
El primer trozo
es una parábola que debemos dibujar entre 0 y 5
Vértice:

![]()
El vértice es el punto ![]()
Se trata de una parábola invertida pues el coeficiente
de
es negativo.
Corte con los ejes de coordenadas:
Si ![]()
Punto de corte:
Si ![]()
Resolviendo la ecuación de segundo grado obtenemos como soluciones 0 y 7
Puntos de corte:
y ![]()
El punto
no nos vale porque está fuera de su dominio [0,5]
Calculemos otros puntos:

El segundo trozo es un función constante
entre 5 y 8
Dibujamos la función
Para entender la función en el contexto del problema debemos saber que:
tiempo (años)
beneficio (millones euros)
b) Vemos que el beneficio enpieza en 0 al principio (0 años) y va aumentando cada año hasta los 3.5 años que alcanza su máximo (12.25 millones de euros).
A partir de ese momento, el beneficio empieza a descender hasta los 5 años (19 millones de euros).
Desde los 5 años hasta los 8 años se mantiene constante en 10 millones de euros
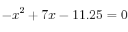
¿Cuándo se espera un beneficio de 11.25 millones de euros?
Si miramos la gráfica vemos que habrá dos veces:
– una será en algún momento entre los 2 y 3 años.
– la otra será en algún momento entre los 4 y 5 años.
Para calcularlo de forma concreta resolvemos:
![]()
![]()
Resolvemos la ecuación de 2º grado
y obtenemos como soluciones 2.5 y 4.5
Por tanto, obtendrá un beneficio de 11.25 millones a los 2.5 años y a los 4.5 años