📝 Ejercicios de integrales inmediatas
-
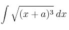
Resuelve la integral:
–

-
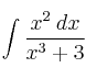
Resuelve la integral:
–

-
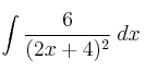
Resuelve la integral:
–

-
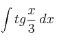
Resuelve la integral:
–

-
Resuelve la integral:
–

-
Resuelve la integral:
–

-
Resuelve la integral:
–

-
Resuelve la integral:
–

-
Resuelve la integral:
–

-
Resuelve la integral:
–

-
Resuelve la integral:
–

-
Resuelve la integral:
–

-
Resuelve la integral:
–

-
Resuelve la integral:
–

-
Resuelve la integral:
–

-
Resuelve la integral:
–

-
Resuelve la integral:
–
![\int \sqrt[5]{x^2} \: dx \int \sqrt[5]{x^2} \: dx](local/cache-TeX/3349a37515d39587ef143f75e9b61ef0.png)
-
Resuelve la integral:
–

-
Resuelve la integral:
–

-
Resuelve las siguientes integrales:
–
–
–
–
–