📝 Ejercicios de trigonometría
-
Calcula

-
En un triángulo
, rectángulo en
, comprueba que se cumplen las siguientes igualdades:
–
–
–
–
–
-
Encuentra todos los ángulos "x" comprendidos entre
y
que verifiquen:– a)
– b)
– c)
-
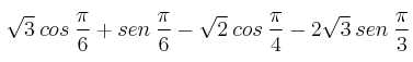
Calcula

-
En el romboide ABCD halle el lado ED
-
Halla el valor de la siguiente expresión:

-
Halla el valor de la siguiente expresión:

-
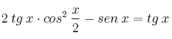
Simplifica la siguiente expresión trigonométrica:

-
Simplifica la siguiente expresión y calcula su valor para

-
a) Expresa en grados y radianes todos los ángulos entre 0 y 180 que sean múltiplo de 30. Debes expresarlos en la siguiente circunferencia.
b) Expresa en grados y radianes todos los ángulos entre 180 y 360 que sean múltiplo de 45. Debes expresarlos en la siguiente circunferencia.
-
Sin usar la calculadora y sabiendo que
y
, halla las razones trigonométricas de 
-
Sin usar la calculadora y sabiendo que
y
, halla las razones trigonométricas de 
-
Sabiendo que
y que
, averigua 
-
Sabiendo que
y que
, averigua 
-
Sabiendo que
y que
, halla
y 
-
Sabiendo que
y que
, averigua 
-
Sabiendo que
y que
, halla 
-
Sabiendo que
y que
, halla 
-
Comprueba si se verifica la siguiente igualdad trigonométrica:

-
Comprueba que se cumple la siguiente igualdad trigonométrica:
