📝 Ejercicios de Inecuaciones_1_incógnita
-
Resuelve la inecuación

-
Resuelve la inecuación

-
Resuelve la inecuación

-
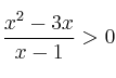
Resuelve la inecuación

-
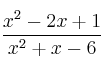
Resuelve la inecuación

-
Resuelve la inecuación:

-
Resuelve la siguiente inecuación:

-
Resuelve la inecuación

-
Resuelve la inecuación

-
Resuelve la inecuación

-
Resuelve la inecuación

-
Resuelve la inecuación

-
Sabemos que la fabricación de un envase tetra brik emite 62 gramos de
y que conducir un coche durante 1 km emite 211 gramos de
. Plantea y resuelve una inecuación para saber cuántos tetra brik es necesario fabricar para superar el consumo de
producido por la conducción durante 50 km de un coche.
- 1
- 2