• Apuntes
  • Vídeos
  • Ejercicios
    • Resueltos
    • Por Curso
      • 1º ESO
      • 2º ESO
      • 3º ESO
      • 4º ESO
      • 1º BACH. CIENCIAS
      • 1º BACH. SOCIALES
      • 2º BACH. CIENCIAS
      • 2º BACH. SOCIALES
  • Más recursos
    • Actividades Interactivas
    • Selectividad (PAU)
    • Acceso Mayores 25
    • LaTeX
Inicio ›EJERCICIOS de Matemáticas ›4º ESO ›Inecuaciones ›Inecuaciones primer grado una incógnita

Inecuaciones primer grado una incógnita

Ejercicios_Resueltosinecuacionesinecuaciones 1º gradoInecuaciones_1_incógnita

Resuelve la inecuación \frac{3x+1}{3} + \frac{2x-4}{3} < \frac{2x-5}{12}

SOLUCIÓN

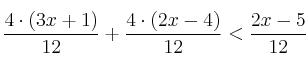
\frac{3x+1}{3} + \frac{2x-4}{3} < \frac{2x-5}{12}
m.c.m.(3,12)=12
\frac{4 \cdot (3x+1)}{12} + \frac{4 \cdot (2x-4)}{12} < \frac{2x-5}{12}
4 \cdot (3x+1) + 4 \cdot (2x-4) < 2x-5
12x+4 + 8x-16 < 2x-5
18x < 7
x < \frac{7}{18}

Otra forma de expresar la solución:
\left( -\infty, \frac{7}{18} \right)

Comentar el ejercicio

  • 4º ESO
    • Números Reales
    • Radicales
    • Logaritmos
    • Polinomios
    • Ecuaciones
    • Sistemas de ecuaciones
    • Proporcionalidad
    • Inecuaciones
    • Trigonometría
    • Funciones 4º ESO
    • Números racionales
    • Circunferencia
    • Geometría en el plano
    • Probabilidad
    • Estadística
  • Mapa del sitio
  • Conectarse
  • 2001-2026 — Matemáticas IES — Contactar con Dani