Inecuaciones primer grado una incógnita
Resuelve la inecuación 
SOLUCIÓN


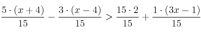
m.c.m.(3,5,15) = 15

Ahora ya podemos quitar denominadores:
![]()
Procedemos a quitar paréntesis:
![]()
A partir de aquí hay varias formas de continuar. Una de ellas es no cambiar el signo de la desigualdad y llevar las "x" al lado en que se queden positivas. En nuestro caso las pondríamos en el lado derecho
![]()
![]()
Otras formas de expresar la solución:
![]()
![]()