Inecuaciones primer grado una incógnita
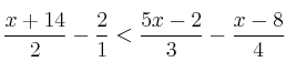
Resuelve la inecuación 
SOLUCIÓN

m.c.m.(2,3,4)=12

![]()
![]()
![]()
![]()

![]()
También se puede expresar como
o en forma de intervalo ![]()
Resuelve la inecuación 

m.c.m.(2,3,4)=12

![]()
![]()
![]()
![]()

![]()
También se puede expresar como
o en forma de intervalo ![]()
Mensajes
22 de junio de 2007, 01:33, por LAURY
es un buen metodo de enseñanza, ahora me gustaria que me ayudaran con este ejercicio:
X2 +X + 1
> 0
X2 +X