📝 Ejercicios de simplificar_radicales
-
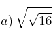
Calcula el valor de los siguientes radicales:
– a)
– b)
– c)
– d)![\sqrt[4]{14641} \sqrt[4]{14641}](local/cache-TeX/4430d9bba219a4e8d51f2b413bc8cbf4.png)
-
Calcula y simplifica:

-
Calcula y simplifica:

-
Simplifica la expresión:

-
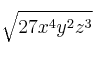
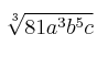
Extrae todos los factores que puedas de los siguientes radicales:
–
–
-
Extrae todos los factores posibles del siguiente radical:

-
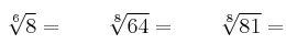
Simplifica los siguientes radicales:
![\sqrt[6]{8}= \qquad \sqrt[8]{64}= \qquad \sqrt[8]{81}= \sqrt[6]{8}= \qquad \sqrt[8]{64}= \qquad \sqrt[8]{81}=](local/cache-TeX/250c6051e8f351f9abd59fbed86cbe86.png)
-
Calcula y expresa el resultado simplificando al máximo:
– a)
– b)
– c)
– d)![\sqrt{2\cdot\sqrt[3]{2^5}} \sqrt{2\cdot\sqrt[3]{2^5}}](local/cache-TeX/9d96ea621d857177678f99eb214e4545.png)
-
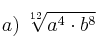
Simplifica al máximo los siguientes radicales:
– a)
– b)
– c)
– d)![\sqrt[5]{2 \cdot \sqrt[3]{2^{27}}} \sqrt[5]{2 \cdot \sqrt[3]{2^{27}}}](local/cache-TeX/e1a71a8027cabee7a3482a6beac6af17.png)
-
Calcula y simplifica:
– a)
– b)
-
Simplifica los siguientes radicales:
– a)
– b)![\sqrt{\sqrt[3]{64}} \sqrt{\sqrt[3]{64}}](local/cache-TeX/38376d0cea801810c4b5e8f65c6d6b90.png)
-
Simplifica los siguientes radicales:
–
–![a) \: \sqrt[3]{\sqrt[4]{x^7 \cdot x^5}} a) \: \sqrt[3]{\sqrt[4]{x^7 \cdot x^5}}](local/cache-TeX/2e67d1ccf7a5977828bf2049282bd5cd.png)
-
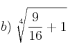
Simplifica los siguientes radicales:
–
–![b) \: \sqrt[4]{\frac{9}{16} + 1} b) \: \sqrt[4]{\frac{9}{16} + 1}](local/cache-TeX/aec52846607ea660a51ad3109ccfd6f4.png)
-
Simplifica los siguientes radicales:
–
–![b) \: \sqrt[3]{\sqrt{1024}} b) \: \sqrt[3]{\sqrt{1024}}](local/cache-TeX/e96bbcec2830fc754009e5f429f33857.png)
-
Calcula y simplifica:
–
–
–
–![a) \: \sqrt[4]{1296} a) \: \sqrt[4]{1296}](local/cache-TeX/e0566410cae4b2fcf2fe77906841873d.png)
-
Calcula y simplifica:
–
–
–
–![a) \: \sqrt[4]{\sqrt[3]{4096}} a) \: \sqrt[4]{\sqrt[3]{4096}}](local/cache-TeX/73643dd0f7ed2c257460ca3668657f44.png)
-
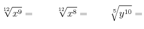
Simplifica los siguientes radicales:
–
–
–![\sqrt[5]{y^10} \sqrt[5]{y^10}](local/cache-TeX/9b081e69f9621b641e5d56e165473e0a.png)
-
Simplifica los siguientes radicales:
–
–
–![\sqrt[8]{81} \sqrt[8]{81}](local/cache-TeX/842e54735d3abb1a114cc9e6b278459f.png)
-
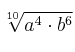
Simplifica los siguientes radicales:
–
–
–![\sqrt[10]{a^4 \cdot b^6} \sqrt[10]{a^4 \cdot b^6}](local/cache-TeX/083b17957f92ea8d3f9087f7c8d10339.png)
-
Simplifica los siguientes radicales:
–
–
–![\sqrt[5]{64} \sqrt[5]{64}](local/cache-TeX/4d396534f3dff06bb97e27de112259b5.png)
- 1
- 2