• Apuntes
  • Vídeos
  • Ejercicios
    • Resueltos
    • Por Curso
      • 1º ESO
      • 2º ESO
      • 3º ESO
      • 4º ESO
      • 1º BACH. CIENCIAS
      • 1º BACH. SOCIALES
      • 2º BACH. CIENCIAS
      • 2º BACH. SOCIALES
  • Más recursos
    • Actividades Interactivas
    • Selectividad (PAU)
    • Acceso Mayores 25
    • LaTeX
Inicio ›EJERCICIOS de Matemáticas ›3º ESO ›Radicales ›radicales

radicales

Ejercicios_Resueltosradicalessimplificar_radicales

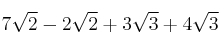
Simplifica la expresión: 7 \sqrt{2} + 4\sqrt{3} - 2\sqrt{2} + 3\sqrt{3}

SOLUCIÓN

7 \sqrt{2} + 4\sqrt{3} - 2\sqrt{2} + 3\sqrt{3}


7 \sqrt{2} - 2\sqrt{2} + 3\sqrt{3}+ 4\sqrt{3}


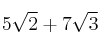
(7-2) \sqrt{2}  + (3+4)\sqrt{3}


5 \sqrt{2}  + 7 \sqrt{3}

Comentar el ejercicio

  • 3º ESO
    • Sistemas de ecuaciones
    • Ecuaciones
    • Polinomios
    • Radicales
    • Potencias
    • Proporcionalidad y Porcentajes
    • Números Reales
    • Funciones y Gráficas
    • Sucesiones
    • Probabilidad
    • Geometría
    • Estadística
    • Problemas especiales
  • Mapa del sitio
  • Conectarse
  • 2001-2026 — Matemáticas IES — Contactar con Dani