• Apuntes
  • Vídeos
  • Ejercicios
    • Resueltos
    • Por Curso
      • 1º ESO
      • 2º ESO
      • 3º ESO
      • 4º ESO
      • 1º BACH. CIENCIAS
      • 1º BACH. SOCIALES
      • 2º BACH. CIENCIAS
      • 2º BACH. SOCIALES
  • Más recursos
    • Actividades Interactivas
    • Selectividad (PAU)
    • Acceso Mayores 25
    • LaTeX
Inicio ›EJERCICIOS de Matemáticas ›3º ESO ›Radicales ›radicales simplificar

radicales simplificar

Ejercicios_Resueltosradicalessimplificar_radicales

Calcula y expresa el resultado simplificando al máximo:

– a) \sqrt[4]{2^8}
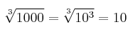
– b) \sqrt[3]{1000}
– c) \sqrt[3]{\sqrt{12}}
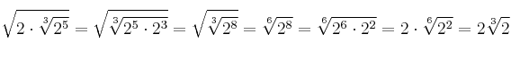
– d) \sqrt{2\cdot\sqrt[3]{2^5}}

SOLUCIÓN

– a) \sqrt[4]{2^8}=\sqrt[4]{2^4 \cdot 2^4} = 2 \cdot 2=4
– b) \sqrt[3]{1000}=\sqrt[3]{10^3}=10
– c) \sqrt[6]{12}
– d) \sqrt{2\cdot\sqrt[3]{2^5}}=\sqrt{\sqrt[3]{2^5 \cdot 2^3}}=\sqrt{\sqrt[3]{2^8}}=\sqrt[6]{2^8}=\sqrt[6]{2^6 \cdot 2^2}=2 \cdot \sqrt[6]{2^2}=2 \sqrt[3]{2}

Comentar el ejercicio

  • 3º ESO
    • Sistemas de ecuaciones
    • Ecuaciones
    • Polinomios
    • Radicales
    • Potencias
    • Proporcionalidad y Porcentajes
    • Números Reales
    • Funciones y Gráficas
    • Sucesiones
    • Probabilidad
    • Geometría
    • Estadística
    • Problemas especiales
  • Mapa del sitio
  • Conectarse
  • 2001-2026 — Matemáticas IES — Contactar con Dani