radicales
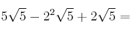
Calcula y simplifica:

SOLUCIÓN

Primero factorizamos los radicandos
![]()



Ahora sacamos de los radicales todos los factores que podamos


Ahora sumamos los radicales que sean semejantes

Calcula y simplifica:


Primero factorizamos los radicandos
![]()



Ahora sacamos de los radicales todos los factores que podamos


Ahora sumamos los radicales que sean semejantes
