📝 Ejercicios de dominio
-
Calcula el dominio de la función

-
Halla dominio y corte con los ejes de la función

-
Indica el dominio y corte con los ejes de coordenadas de las siguientes funciones:
– a)
– b)
– c)
– d)
– e)
-
Hallar el dominio y rango de la siguiente función

-
Encontrar dominio y rango de la siguiente función y graficar

-
Halla dominio, continuidad y corte con los ejes de la función

-
Hallar dominio, continuidad y corte con los ejes de la función

-
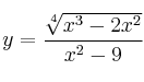
Halla el dominio de la función
![y = \frac{\sqrt[4]{x^3-2x^2}}{x^2-9} y = \frac{\sqrt[4]{x^3-2x^2}}{x^2-9}](local/cache-TeX/ce0e85733b63e27097f86db140040fc6.png)
-
Dada la función cuadrática

a) Indica su dominio y recorrido.
b) Obtén los puntos de corte con los ejes.
c) Calcula su vértice.
d) Representación gráfica -
Para la función
se pide:– a) Dominio
– b) Corte con los ejes
– c) Monotonía y Extremos
– d) Curvatura y Puntos de Inflexión
– e) Representación gráfica teniendo en cuenta los apartados anteriores -
Sea la función:

– a) Representación gráfica
– b) Indica Dominio, Corte con los ejes, Asíntotas, Monotonía y Extremos -
Sea la función:

– a) Representación gráfica
– b) Indica Dominio, Corte con los ejes, Asíntotas, Monotonía y Extremos -
Realiza un estudio global (dominio, simetrías, corte con los ejes, asíntotas, monotonía, extremos y representación gráfica) de la función:

-
En la siguiente función indica:
a) Dominio
b) Recorrido
c) Extremos relativos (máximos y mínimos)
d) Puntos de corte. Si no coincide con un valor entero, utiliza una cifra decimal para expresarlo.
e) Monotonía (intervalos de crecimiento y decrecimiento)
-
[1]Para la siguiente función dibuje su gráfica, calcule dominio y rango. Estudie un punto donde la función sea continua y otro donde sea discontinua:
![f(x) =
\left\{
\begin{array}{lrc}
- \frac{\sqrt{4-(x+3)^2}}{2} - 1 & si & x < 1
\\ -x^2+2x-1 & si & -1 \leq x < 1
\\ 2 - |x-2| & si & 1 < x \leq 4
\\ 8-2x & si & 4 < x < 6 \\
\left[ x+2 \right] -1 & si & x > 6
\end{array}
\right. f(x) =
\left\{
\begin{array}{lrc}
- \frac{\sqrt{4-(x+3)^2}}{2} - 1 & si & x < 1
\\ -x^2+2x-1 & si & -1 \leq x < 1
\\ 2 - |x-2| & si & 1 < x \leq 4
\\ 8-2x & si & 4 < x < 6 \\
\left[ x+2 \right] -1 & si & x > 6
\end{array}
\right.](local/cache-TeX/2879c87af215fa1fbd169a3c9ba1914b.png)
-
Indica cuál de las gráficas siguientes representan una función. En caso de ser función, indica su dominio y su imagen.
-
Indica en la siguiente gráfica:
– Dominio e Imagen
– Simetrías
– Intervalos de crecimiento y decrecimiento
– Continuidad
– Máximos y mínimos
-
Indica en la siguiente gráfica:
– Dominio e Imagen
– Simetrías
– Intervalos de crecimiento y decrecimiento
– Continuidad
– Máximos y mínimos
-
Indica en la siguiente gráfica:
– Dominio e Imagen
– Simetrías
– Intervalos de crecimiento y decrecimiento
– Continuidad
– Máximos y mínimos
-
Indica en la siguiente gráfica:
– Dominio e Imagen
– Simetrías
– Intervalos de crecimiento y decrecimiento
– Continuidad
– Máximos y mínimos