Varianza
La varianza es la media aritmética de los cuadrados de las desviaciones de todos los datos respecto a la media. Se representa por ![]()
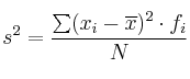
Para calcular la varianza usaremos la fórmula:

También se puede usar la siguiente fórmula:

La varianza es la media aritmética de los cuadrados de las desviaciones de todos los datos respecto a la media. Se representa por ![]()
Para calcular la varianza usaremos la fórmula:

También se puede usar la siguiente fórmula:
