Media aritmética
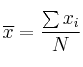
Media aritmética (o simplemente media) es el cociente entre la suma de todos los valores y el número total de éstos. Se representa por ![]()
– Cálculo de la media para valores simples

Ejemplo:
Datos: ![]()

Teclea tu propio ejemplo y te lo calculamos al instante
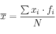
– Cálculo de la media para valores con frecuencias

Ejemplo. Con los datos de la tabla adjunta:


Por tanto, ![]()

– Cálculo de la media para valores agrupados en intervalos

Ejemplo:



Por tanto, ![]()