Mediana (III)
Cálculo de la mediana para valores agrupados en intervalos
1) Necesitamos la columna de frecuencias absolutas acumuladas (
)
2) Buscamos el primer intervalo tal que
(intervalo mediano). Una vez localizado, aplicamos la fórmula:

: límite inferior del intervalo mediano
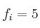
: frecuencia absoluta del intervalo mediano
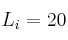
: frecuencia absoluta acumulada del intervalo anterior al mediano
: amplitud del intervalo modal
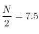
: número total de datos
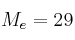
Ejemplo:

–
– Intervalo mediano:
–
–
–
– ![]()
![]()
Por tanto ![]()