Polinomios
(127) ejercicios de Polinomios
-
Halla las raíces de los siguientes polinomios:
–
–
–
-
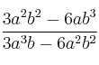
Simplifica la expresión:

-
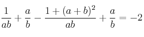
Averigua si es cierta la siguiente igualdad

-
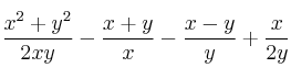
Calcula y simplifica:

-
Efectúa la siguiente división de polinomios:

