Polinomios
(127) ejercicios de Polinomios
-
El polinomio
es divisible entre
. Sabiendo que si lo dividimos entre
y
se obtiene el mismo resto, halla los valores de b y c.
-
Calcula:

-
Hallar un polinomio de cuarto grado que sólo tenga dos raíces: 0 y 1
-
Calcula
y
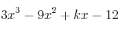
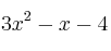
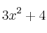
para que el polinomio
sea divisible por
y de un resto de 9 al dividir por 
-
Si el polinomio
es divisible por
, entonces también es divisible por:– a)
– b)
– c)
– d)
– e)
