Matrices, Determinantes y Sistemas
(53) ejercicios de Matrices, Determinantes y Sistemas
-
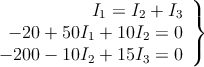
Dado el siguiente sistema:
– a) Escribe la matriz de los coeficientes, la matriz ampliada, la de las incógnitas y la de los términos independientes.
– b) Resuelve el sistema por el método que desees. A la vista de las soluciones, ¿de qué tipo es el sistema? -
Una empresa tiene tres factorías, F1, F2, F3, en las que se fabrican diariamente tres tipos diferentes de productos, A, B y C, como se indica a continuación:
F1: 200 unidades de A, 40 de B y 30 de C.
F2: 20 unidades de A, 100 de B y 200 de C.
F3: 80 unidades de A, 50 de B y 40 de C.
Cada unidad de A que se vende proporciona un beneficio de 5 euros; por cada unidad de B, se obtienen 20 euros de beneficio; y por cada una de C, 30 euros.
Sabiendo que la empresa vende toda la producción diaria, obtén matricialmente el beneficio diario obtenido con cada una de las tres factorías.
-
Un cliente de un supermercado ha pagado un total de 156 euros por 24 litros
de leche, 6 kg de jamón serrano y 12 litros de aceite de oliva.
Plantee y resuelva un sistema de ecuaciones para calcular el precio unitario de cada artículo, sabiendo que 1 litro de aceite cuesta el triple que un litro de leche y que 1 kg de jamón cuesta igual que 4 litros de aceite más 4 litros de leche. -
Calcula la inversa de la siguiente matriz usando el método de Gauss-Jordan

-
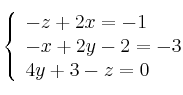
Resuelve por el método de Gauss el siguiente sistema de ecuaciones

