Matrices, Determinantes y Sistemas
(53) ejercicios de Matrices, Determinantes y Sistemas
-
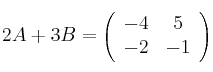
Calcula dos matrices cuadradas
y
sabiendo que
y que

-
Sea

– a) Calcula
y expresa el resultado en función de la matriz identidad
– b) Utiliza la relación hallada con la matrizz identidad para calcular
-
Sean las matrices
,
,

Halla

-
– Despeja la matriz
en la ecuación 
– Halla la matriz
sabiendo que



-
Sean las matrices
,
y
– (a) Encuentre el valor o valores de
de forma que
– (b) Igualmente para
– (c) Determine
para que 
