Matrices, Determinantes y Sistemas
(53) ejercicios de Matrices, Determinantes y Sistemas
-
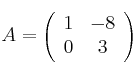
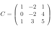
Calcula los determinantes de las siguientes matrices



-
Calcula las adjuntas de las siguientes matrices

-
Calcula los determinantes de las siguientes matrices:

-
Calcula la inversa de la matriz A

-
Indica para que valores de
no existe inversa de la matriz siguiente