Sistema resuelto por Gauss. Ejercicio 4439
Resuelve por el método de Gauss el siguiente sistema de ecuaciones

SOLUCIÓN
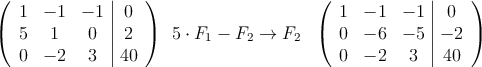
Primero ordenamos el sistema y lo expresamos en forma matricial

Podemos dividir la Fila 2 entre 10 y la fila 3 entre 5 (quedará más simplificado)

Los cambios siguientes no son obligatorios, pero me van a hacer más fáciles las operaciones:
1) Multiplicar por (-1) la F2 (son todos negativos, se convierten a positivos)
2) Intercambiar F2 y F3 con objeto de que las fracciones sean "medios" en lugar de "sextos"

Nos queda el último cambio ![]()

Ahora pasamos a ecuaciones y resolvemos el sistema escalonado "de abajo hacia arriba"

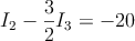
Ahora en la segunda ecuación:
![]()
![]()
![]()
Finalmente en la primera ecuación:
![]()
![]()
![]()