Funciones, Derivadas e Integrales
Análisis matemático: Funciones, Límites, Derivadas e Integrales
Sea
definida por ![]()
– (a) Calcula la recta tangente a la gráfica de f en el punto de abscisa
.
– (b) Esboza el recinto limitado por la gráfica de f y la recta tangente obtenida.
– (c) Calcula el área del recinto descrito en el apartado anterior.
Sea
definida por ![]()
– (a) Calcula la recta tangente a la gráfica de f en el punto de abscisa
.
– (b) Esboza el recinto limitado por la gráfica de f y la recta tangente obtenida.
– (c) Calcula el área del recinto descrito en el apartado anterior.
Considera la función
definida para
por
– (a) Halla las asíntotas de la gráfica de
– (b) Estudia la posición relativa de la gráfica de
respecto de sus asíntotas
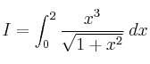
Sea 
– a) Expresa
aplicando el cambio de variable
– b) Calcula el valor de ![]()
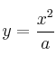
El área del recinto limitado por las curvas de ecuaciones
y ![]()
con
, vale
. Calcula el valor de
.
Dada la función
definida, para
, por
determina las asíntotas de su gráfica.
Sea
la función definida por
.
– (a) Esboza la gráfica de
– (b) Determina la ecuación de la recta tangente a la gráfica de
en el punto de abscisa
– (c) Calcula el área del recinto limitado por la gráfica de
y el eje de abscisas.
Sea
la función definida por
. Calcula los valores de a, b, c y d sabiendo que f verifica:
– El punto (0,1) es un punto de inflexión de la gráfica de f
– f tiene un mínimo local en el punto de abcisa x=1
– La recta tangente a la gráfica de f en el punto de abcisa x=2 tiene pendiente 1
Se divide un segmento de longitud L=20 cm. en dos trozos. Con uno de los trozos se forma un cuadrado y con el otro un rectángulo en el que la base es el doble que la altura. Calcula la longitud de cada uno de los trozos para que la suma de las áreas del cuadrado y del rectángulo sea mínima
De entre todos los rectángulos cuya área mide
, determina las dimensiones del que tiene diagonal de menor longitud