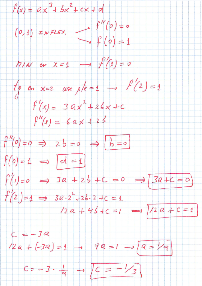
Selectividad Andalucía 2009 - 1 - A1
Sea
la función definida por
. Calcula los valores de a, b, c y d sabiendo que f verifica:
– El punto (0,1) es un punto de inflexión de la gráfica de f
– f tiene un mínimo local en el punto de abcisa x=1
– La recta tangente a la gráfica de f en el punto de abcisa x=2 tiene pendiente 1
