• Apuntes
  • Vídeos
  • Ejercicios
    • Resueltos
    • Por Curso
      • 1º ESO
      • 2º ESO
      • 3º ESO
      • 4º ESO
      • 1º BACH. CIENCIAS
      • 1º BACH. SOCIALES
      • 2º BACH. CIENCIAS
      • 2º BACH. SOCIALES
  • Más recursos
    • Actividades Interactivas
    • Selectividad (PAU)
    • Acceso Mayores 25
    • LaTeX
Inicio ›EJERCICIOS de Matemáticas ›2º BACH. CIENCIAS ›Funciones, Derivadas e Integrales ›Selectividad Andalucía 2009 - 2 - B1

Selectividad Andalucía 2009 - 2 - B1

andalucíaEjercicios_ResueltosfuncionesMatemáticasII_Andalucía_2009optimizaciónselectividad

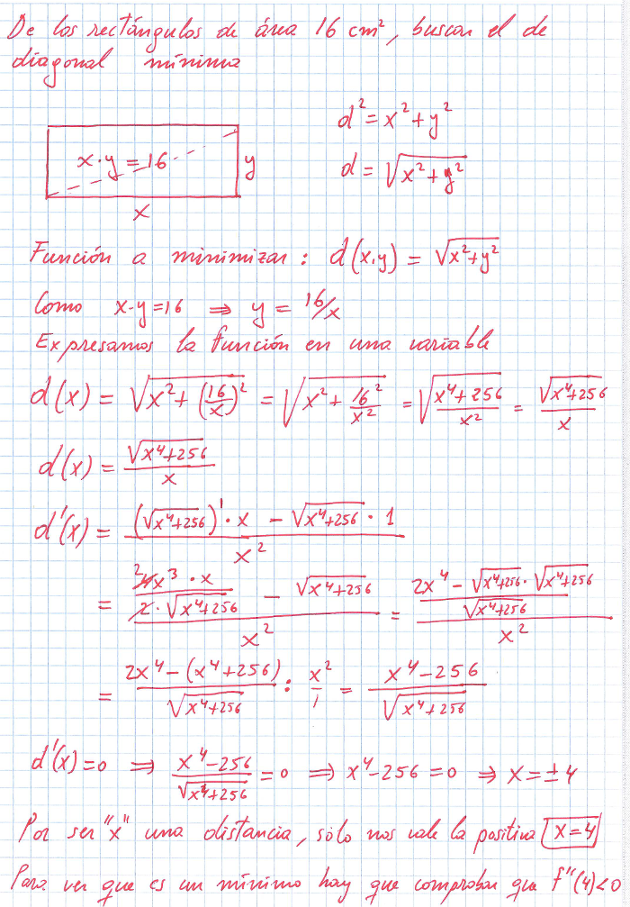
De entre todos los rectángulos cuya área mide 16 cm^2, determina las dimensiones del que tiene diagonal de menor longitud

SOLUCIÓN

Comentar el ejercicio

  • 2º BACH. CIENCIAS
    • Funciones, Derivadas e Integrales
    • Geometría en el Espacio
    • Matrices, Determinantes y Sistemas
    • SELECTIVIDAD - EvAU
  • Mapa del sitio
  • Conectarse
  • 2001-2026 — Matemáticas IES — Contactar con Dani