Selectividad Andalucía 2009 - 1 - B1
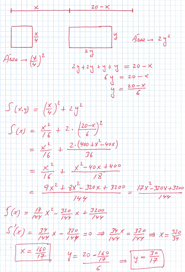
Se divide un segmento de longitud L=20 cm. en dos trozos. Con uno de los trozos se forma un cuadrado y con el otro un rectángulo en el que la base es el doble que la altura. Calcula la longitud de cada uno de los trozos para que la suma de las áreas del cuadrado y del rectángulo sea mínima
