Integrales
Integrales - 1º Bach. Ciencias
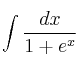
Resuelve sin hacer cambio de variable la integral 
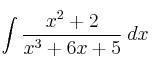
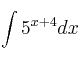
Resuelve la intergral 
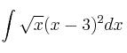
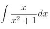
Resuelve la integral:
– 
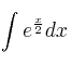
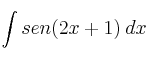
Resuelve la integral indefinida 
Resuelve la integral:
– 
Resuelve la integral:
– 
Resuelve la integral:
– 
Resuelve la integral:
– 
Resuelve la integral:
– 
Resuelve la integral:
– 