05 - Ángulo entre dos vectores
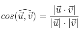
Para encontrar el ángulo que forman dos vectores usaremos la fórmula del producto escalar:
, en la que despejaremos el coseno:

Observe que hemos tomado valor absoluto en el numerador para asegurarnos un coseno positivo, y así obtener el menor de los dos ángulos posibles.